плазма
характеризується 
електродинамічним параметром ɛ .Якщо електричне
поле відсутнє, то відносна діелектрична проникність плазми рівна

Якщо  ν<< ω формули (9.1) спрощуються: 

Поняття  плазми  може  бути  розповсюджено 
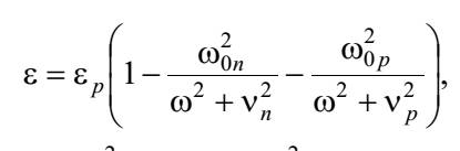
на  електронно-дірковий  газ  у напівпровідниках.  Електродинамічні  параметри  невиродженого напівпровідника  з  двома  типами 
електропровідності, для якого
ефективні частоти зіткнень електронів  і дірок рівні
νn  і  νp, ф а  діелектрична  проникність  решітки ,  ɛp  можуть  бути  представлені формулою

Де      
 
 плазмові  частоти електронів та дірок відповідно; n  і  p – концентрації електронів і дірок; Якщо  у  напівпровіднику  існує  декілька  сортів  частинок  з  різними ефективними
масами, тоді це повинно бути відображено відповідним 
членами  у  формулі  .Узагальненою  електродинамічною 
характеристикою середовища
є комплексна діелектрична проникність  
Частковим  випадком  анізотропних  середовищ  є  гіротропні середовища, для яких хоча б один із тензорів (ɛ) та (µ) маэ вигляд

Гіромагнітні
властивості виявляють деякі середовища, розміщені у 
постійному  магнітному 
полі.  Так,  для 
газової  плазми  у 
присутності 
постійного  магнітного 
поля  H0=H0Iz складові  тензора
діелектричної проникності записуються у вигляді

Де     
частота ларморівської процесії.
При  врахуванні 
зіткнень  складові  тензора 
комплексної діелектричної проникності газової плазми матимуть вигляд
