Горбаченко каже: рівняння Максвела в інтегральній формі
|
|
(01-15.1) |
Глєбова каже: Через 2 століття
після відкриття Ньютоном рівнянь руху матеріальних тіл геніальний англійський
фізик Джеймс Клерк Максвелл отримав рівняння, які описують динаміку нової форми
матерії – електромагнітного поля. Таким чином були повністю встановлені
теоретичні основи класичної фізики.
Отже Максвел створив теорію
електромагнітного поля, яка дозволила з єдиної точки зору пояснити електричні
та магнітні явища. В її основі лежать чотири рівняння (рівняння
Максвела в інтегральній формі).
1.Перше рівняння Максвелла
Максвелл узагальнив теорему Гауса для
електростатичного поля. Він стверджував, що вона є справедливою для довільного
електричного поля: як стаціонарного, так і для змінного.
Фізичний зміст:
Електричний заряд
– джерело потенціального електричного поля.
2. Друге рівняння Максвелла
Макчсвелл стверджував, що теорема Гауса є справедливою і для
довільного магнітного поля.
Фізичний зміст:
1. Магнітних зарядів в природі не
існує.
2. Не існує
потенціального магнітного поля.
3. Третє рівняння Максвелла
Дане рівняння є узагальненням закону
електромагнітної індукції Фарадея.
Фізичний зміст:
Змінне магнітне
поле породжує змінне вихрове електричне.
Це рівняння показує, що джерелами
електричного поля можуть бути не тільки електричні заряди, але і змінні
магнітні поля: в кожній точці простору, внаслідок зміни з часом індукції
магнітного поля, утворюється вихрове електричне поле, напруженість
якого Е лежить в площині, перпендикулярній В.
4. Четверте рівняння Максвелла
Це рівняння показує, що магнітні поля можуть створюватись як електричним струмом, так і змінним електричним
полем. Змінний струм, на відміну
від постійного, проходить
через конденсатор; але цей
струм неє за своєю сутністю струмом
провідності; він називається струмом зміщення.
Струм зміщення представляє собою змінне
електричне поле; його густина
Jзм = εε0∙dE/dt.
Фізичний зміст:
Змінне магнітне
поле породжується струмами провідності та змінним електричним полем.
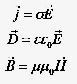
Величини, що входять в рівняння
Максвела зв’язані між собою співвідношеннями
Де ε0,μ0 – відповідно електрична та магнітна
сталі; ε,μ- діелектрична та
магнітна проникності; σ – питома
електропровідність.
АБО, ВАРІАНТ БАТАРЧУКА
АБО, ВАРІАНТ БАТАРЧУКА



